4.4.1 Comments on the Feasibility Detection
In real-world constraints-related problems, it is common for the feasible region to be much smaller than the entire design space. This makes it challenging to find a feasible solution within a limited number of function evaluations. We evaluated various algorithms for these 37 problems and found that none could achieve feasibility for all the problems. Among the DIRECT-type algorithms, DIRECT-L1, glcSolve, and DIRECT-GLh performed the least effectively, as they lack a dedicated feasibility detection phase. DIRECT-GLh could detect feasible solutions for only $56.76\% $ of the problems. However, this algorithm was primarily designed for problems with hidden constraints and does not utilize its information.
Although most algorithms found feasible solutions for half of the problems in a few hundred function evaluations, it was impossible to achieve the same without using constraint information (DIRECT-GLh), which required more than $2,000$ evaluations. Of all the methods tested, the two evolutionary computation methods (NNA and ϵsCMAgES) were the most successful in finding feasible solutions. The NNA algorithm could not locate feasible solutions for only four problems on average, while ϵsCMAgES failed on one additional problem. Compared to the most successful DIRECT-type algorithm (DIRECT-GLce-min), the algorithm NNA was able to locate feasible solutions for four additional problems. Furthermore, the multi-start algorithm cobyla has a high success rate, providing feasible solutions for $83.78\% $ of the problems within the function evaluation limit.

Fig. 5
Left: The fraction of problems (out of 37 problems) for which the algorithms were able to find any feasible solution. Right: Empirical cumulative distribution (ECD) of function evaluations for different target precisions based on the sum of constraint violations.
In our study, we set additional precision targets for the absolute error and analysed the empirical cumulative distribution (ECD) function of the target fraction achieved during evaluations based on the sum of constraint violations. This was done by considering the sum of constraint violations to gain further insights into how algorithms approach the feasible region as the number of function evaluations approaches the limit. The function used for this purpose was defined by the equation:
To evaluate the absolute precision of the algorithms, a total of 51 targets were set, ranging from
${10^{-8}}$ to
${10^{2}}$. This setup is similar to the one utilized in the COCO platform (Hansen
et al.,
2021). The ECD functions presented on the right side of Fig.
5 provide valuable insight into the performance of the algorithms at different stages of the search process.
Of all the algorithms tested, only four of them achieved more than $\gt 50\% $ of solved targets within 100 function evaluations. Among these algorithms, only one belonged to the DIRECT-type – DIRECT-GLce-min. After conducting a thorough analysis, we found that the NNA algorithm, performed the best when the function evaluation budget was small, that is, less than or equal to 100. However, when the evaluation budget increases, the ϵsCMAgES algorithm demonstrated superior performance. In fact, when the evaluations of the functions reached their maximum, the ϵsCMAgES algorithm outperformed all other competitors with a success rate of $96.82\% $. The EA4eig algorithm came in second place with a success rate of $93.48\% $. The most successful DIRECT-type method (DIRECT-GLce-min) only achieved $83.89\% $ success rate, ranking only sixth.
4.4.2 Evaluating the Impact of Solution Quality
The
DIRECT-type algorithm possesses a notable strength in identifying the basin of the global optimum quickly. However, these algorithms may exhibit slower performance in refining solutions to achieve high precision unless solution refinement approaches are implemented (Finkel and Kelley,
2006; Jones and Martins,
2021; Liu
et al.,
2017; Liu Q.
et al.,
2015; Stripinis
et al.,
2018). Consequently, when evaluating the performance of
DIRECT-type algorithms, the focus is often on their ability to locate solutions within a certain relative error range rather than to achieve extremely precise solutions, as typically demanded in most CEC competitions (Kumar
et al.,
2020b). This emphasis comes from the inherent characteristics of
DIRECT-type algorithms, which prioritize efficient exploration of the search space and the identification of promising regions rather than placing a heavy emphasis on solution refinement. Consequently, evaluating and applying algorithms of the type
DIRECT requires considering specific problem requirements and striking a balance between solution quality and computational efficiency, potentially requiring additional techniques or adaptations to achieve high-precision solutions. For this reason, we evaluate the quality of the solution using rounded numbers with four decimal places.
Table 3
Friedmann mean rank values, using different objective function evaluation budgets.
| Algorithm |
${10^{2}}$ |
${10^{3}}$ |
${10^{4}}$ |
${10^{5}}$ |
| DIRECT-L1 |
6.9127 |
7.6349 |
9.1905 |
9.6429 |
| glcSolve |
5.6349 |
6.5556 |
7.8254 |
8.5397 |
| glcCluster |
7.0238 |
5.9603 |
6.8492 |
7.2937 |
| DIRECT-GLce-min |
7.7222 |
5.1825 |
3.9683 |
4.3651 |
| DIRECT-GLh |
7.3889 |
7.6429 |
7.1984 |
6.8333 |
| simDIRECT |
6.2698 |
6.8730 |
7.5952 |
8.7460 |
| cobyla |
5.5397 |
5.8968 |
6.1825 |
6.5079 |
|
ϵsCMAgES
|
5.8889 |
5.7619 |
5.3254 |
4.8492 |
| NNA |
5.9841 |
7.5397 |
5.2857 |
5.6349 |
| COLSHADE |
8.8651 |
6.5556 |
6.1111 |
4.6429 |
| LGO-BB |
5.0238 |
5.3730 |
6.5476 |
6.7698 |
| EA4eig |
5.7460 |
7.0238 |
5.9206 |
4.1746 |
|
p-value |
$\lt {10^{-12}}$ |
$\lt {10^{-11}}$ |
$\lt {10^{-15}}$ |
$\lt {10^{-15}}$ |
To compare the solutions, we performed a statistical analysis using the Friedman rank test (Friedman,
1937) to assess the performance of different algorithms on various computational budgets. The results of this analysis, presented in Table
3, demonstrate significant differences between algorithms, as indicated by the corresponding
p-values using a significance level of
$5\% $. The algorithms were examined to observe how their relative performance changed as the computational budget increased. A lower rank indicates better performance.
Research findings indicate that algorithms LGO-BB, cobyla, and glcSolve are the top-ranking methods for the smallest budget (${10^{2}}$). However, as the computational budget increases, the ranks of these algorithms gradually decrease, and the DIRECT-L1 and simDIRECT algorithms also join the list of least-performing methods for the largest budget (${10^{5}}$). On the other hand, the algorithms COLSHADE, ϵsCMAgES, and DIRECT-GLh consistently demonstrate improvement within each evaluation budget, and when they reached maximum, the COLSHADE and ϵsCMAgES algorithms had the third and fourth ranks.
The DIRECT-GLce-min algorithm has been shown to be the most efficient DIRECT-type algorithm and emerges as the winner using two evaluation budgets (${10^{3}}$ and ${10^{4}}$). However, when the evaluation budget reaches its maximum, the EA4eig algorithm surpasses the DIRECT-GLce-min algorithm and claims the top ranking. These findings suggest that the choice of algorithm depends on the computational budget available for optimization, and the EA4eig algorithm may provide the best performance for large-budget scenarios.
Performance Comparison Between Problems Constrained by Only Bounds and Those that Additionally Include Inequality Constraints. The performance of optimization algorithms on problems with and without inequality constraints was compared using graphical representations of their Friedman mean ranks in Fig.
6. For problems without inequality constraints, the
ϵsCMAgES algorithm performed the best with the smallest evaluation budgets, but the
DIRECT-GLce-min algorithm surpassed it by a significant margin when the evaluation budget was larger (
${10^{4}}$). When the evaluation budget reached its maximum, the
DIRECT-GLce-min and
EA4eig algorithms performed similarly, while the ranking of the
ϵsCMAgES algorithm dropped to fifth place. The performance of two more algorithms,
COLSHADE and
DIRECT-GLh, steadily increased and eventually ranked in the third and fourth places accordingly.

Fig. 6
Graphical comparison of algorithms’ Friedman mean ranks using different function evaluation budgets on problems with and without inequality constraints.
On the other hand, when inequality constraints were introduced, the rankings of the algorithms changed significantly. Although the ϵsCMAgES algorithms performed significantly well on box-constrained problems with small evaluation budgets, it proved to have one of the worst rankings with inequality constraints. In contrast, the algorithm cobyla, one of the worst performers on box-constrained problems, performed very well and remained stable with inequality constraints in all evaluation budgets. Furthermore, the DIRECT-GLce-min algorithm, which is the most efficient DIRECT-type algorithm, was highly competitive with evaluation budgets greater than ${10^{2}}$. However, when the evaluation budget reached its maximum, three algorithms, namely COLSHADE, EA4eig, and ϵsCMAgES slightly outperformed the DIRECT-GLce-min solver.
Performance Comparison on Different Dimensional Sets. In a recent extensive study (Stripinis
et al.,
2024), it has been found that
DIRECT-type algorithms are only competitive on small-dimensional problems. To validate this finding, we divided the problems into two sets, small dimensional (
$n\leqslant 12$), and higher dimension (
$n\geqslant 13$), and presented graphical representations of the Friedman mean ranks using these two sets in Fig.
7. According to our observations,
DIRECT-GLce-min was found to be the most efficient using small-dimensional problems when the evaluation budget was greater than or equal to
${10^{3}}$. The difference between
DIRECT-GLce-min and the second-best algorithm,
LGO-BB (on
${M_{\max }}={10^{3}}$), and third-best algorithm,
ϵsCMAgES (on
${M_{\max }}={10^{4}}$), was quite significant. However, when the evaluation budget reached its maximum, the difference in the Freadman mean rank between the top-performing
DIRECT-GLce-min and the second (
EA4eig) and third (
ϵsCMAgES) best algorithms was minimal.

Fig. 7
Graphical comparison of algorithms’ Friedman mean ranks using different function evaluation budgets on problems with different dimensions.
For higher dimensional problems, the difference in Friedman mean ranks was significantly smaller between all algorithms. Only when the evaluation budget was greater than or equal to ${10^{4}}$, the difference in Freidman mean ranks become more spread. Specifically, when the maximum evaluation budget was ${10^{4}}$, the top-performing algorithm with a marginal difference was DIRECT-GLce-min. However, when the maximum evaluation budget was ${10^{5}}$, the EA4eig algorithm showed substantial efficiency and outperformed DIRECT-GLce-min, which ranked second.
4.4.3 Comparing Algorithms Efficiency Based on Function Evaluations
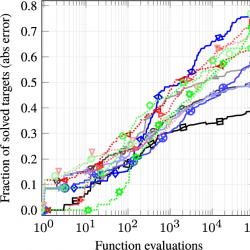
Due to the large number of distinct problems $(63)$ considered in this study, it is not practical to present convergence plots of algorithms for each function and dimension. To overcome this limitation, we employ the ECD function to assess the effectiveness of algorithms in reaching favorable solutions. However, it is important to note that the use of this performance measurement tool is based on the knowledge of problem solutions. To address this requirement, we used the best solutions obtained from this study, rounding them to four decimal places. This allows us to examine how efficiently these solutions can be achieved using various algorithms. For the empirical cumulative distribution (ECD), we establish a total of 51 target values for absolute precision, ranging from ${10^{-4}}$ to ${10^{2}}$.

Fig. 8
ECD of the number of function evaluations for different target precisions based on the best solutions obtained in this study.
The ECD plot in Fig.
8 shows that there is very little difference in algorithm performance with a small evaluation budget (less than or equal to 300). However, as the budget increases, some algorithms perform significantly better, while others do worse. With a larger evaluation budget (500 or more), the
DIRECT-type algorithm (
DIRECT-GLce-min) demonstrated slightly better performance than any other algorithm and maintained its top performance across all available budgets. However, the
DIRECT-GLce-min algorithm was the only
DIRECT-type algorithm that showed promising performance compared to six competing algorithms. The closest competitor to
DIRECT-GLce-min was the
EA4eig algorithm, which on average, solved only about
$1\% $ fewer targets within the full evaluation budget. The other five
DIRECT-type algorithms showed significantly worse performance. The second and third-best
DIRECT-type algorithms,
DIRECT-GLh and
glcCluster, solved only about
$57\% $ of the targets.